Prima pagină » Coronavirus » Coronavirus în România 31 august 2021. Situaţia pe judeţe. Peste 200 de cazuri noi în Bucureşti. LISTA completă

Coronavirus în România 31 august 2021. Situaţia pe judeţe. Peste 200 de cazuri noi în Bucureşti. LISTA completă

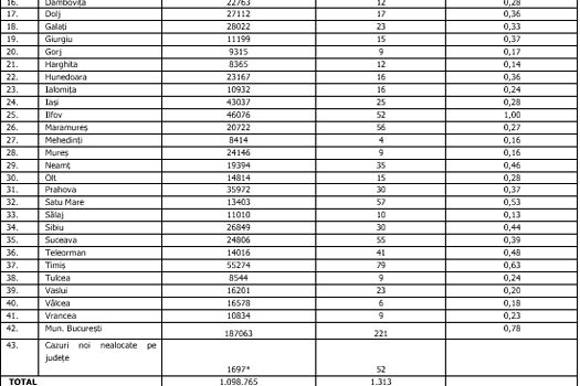
Până marţi, 31 august, pe teritoriul României au fost confirmate 1.098.765 de cazuri de persoane infectate cu noul coronavirus, iar 1.055.059 de pacienţi au fost declaraţi vindecaţi.

În ultimele 24 de ore au fost înregistrate 1.313 cazuri noi de persoane infectate cu SARS – CoV – 2.

Până marţi, 34.570 de persoane diagnosticate cu infecţie cu SARS – CoV – 2 au decedat.

De luni până marţi au fost raportate de către INSP un număr de 31 de decese (15 bărbaţi şi 16 femei), ale unor pacienţi infectaţi cu noul coronavirus, internaţi în spitalele din Argeş, Arad, Brăila, Bistriţa-Năsăud, Călăraşi, Caraş-Severin, Dolj, Galaţi, Ialomiţa, Iaşi, Neamţ, Sibiu, Suceava, Timiş, Vaslui, Vâlcea şi municipiul Bucureşti.

TOP judeţe după numărul de cazuri noi

  • Municipiul Bucureşti – 221 cazuri noi COVID-19
  • Timiş – 79 cazuri noi COVID-19
  • Cluj – 70 cazuri noi COVID-19
  • Constanţa – 58 cazuri noi COVID-19

Listă completă

Până la această dată, la nivel naţional, au fost prelucrate 9.092.422 de teste RT-PCR şi 2.402.625 de teste rapide antigenice. În ultimele 24 de ore au fost efectuate 17.675 de teste RT-PCR (7.542 în baza definiţiei de caz şi a protocolului medical şi 10.133 la cerere) şi 28.145 de teste rapide antigenice.

Bilanţul complet COVID-19 poate fi consultat aici.