Prima pagină » Coronavirus » CORONAVIRUS 6 iunie. Situaţia pe judeţe. Zonele care nu au raportat niciun caz nou. LISTA completă

CORONAVIRUS 6 iunie. Situaţia pe judeţe. Zonele care nu au raportat niciun caz nou. LISTA completă

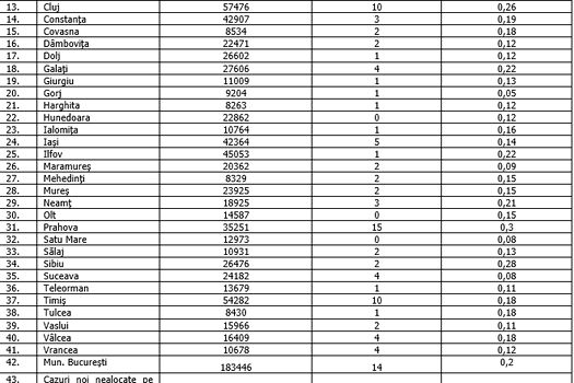
Până astăzi, 6 iunie, pe teritoriul României au fost confirmate 1.078.863 de cazuri de persoane infectate cu COVID-19. Vezi aici bilanţul complet pentru 6 iunie.

1.042.898 de pacienţi au fost declaraţi vindecaţi.

În urma testelor efectuate la nivel naţional, faţă de ultima raportare, au fost înregistrate 121 de cazuri noi de persoane infectate cu SARS-CoV-2. De asemenea, au fost raportate 90 de decese.

În ultimele 24 de ore au fost efectuate 11.666 de teste RT-PCR (3.951 în baza definiţiei de caz şi a protocolului medical şi 7.715 la cerere) şi 6.138 de teste rapide antigenice.

TOP judeţe cu cele mai multe cazuri:

  • Prahova – 15 cazuri noi de COVID-19.
  • Municipiul Bucureşti – 14 cazuri noi de COVID-19
  • Argeş – 13 cazuri noi de COVID-19.

Judeţe cu ZERO cazuri noi:

  • Botoşani – 0 cazuri de COVID-19
  • Hunedoara – 0 cazuri de COVID-19
  • Olt – 0 cazuri de COVID-19

LISTA completă: