Prima pagină » Coronavirus » Coronavirus în România LIVE UPDATE 14 septembrie 2021. Creştere bruscă a numărului de cazuri: aproape 4.000 de infectări, în 24 de ore. Bilanţ complet COVID-19

Coronavirus în România LIVE UPDATE 14 septembrie 2021. Creştere bruscă a numărului de cazuri: aproape 4.000 de infectări, în 24 de ore. Bilanţ complet COVID-19

Coronavirus România 14 septembrie 2021. Bilanţ COVID-19

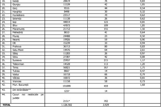
Până astăzi, 14 septembrie, pe teritoriul României au fost confirmate 1.126.582 de cazuri de persoane infectate cu noul coronavirus (COVID – 19).

1.068.122 de pacienţi au fost declaraţi vindecaţi.

Cazuri noi COVID-19

În urma testelor efectuate la nivel naţional, faţă de ultima raportare, au fost înregistrate 3.929 de cazuri noi de persoane infectate cu SARS – CoV – 2 (COVID – 19), acestea fiind cazuri care nu au mai avut anterior un test pozitiv. 

Bilanţ decese COVID-19

Până astăzi, 35.132 de persoane diagnosticate cu infecţie cu SARS – CoV – 2 au decedat.

În intervalul 13.09.2021 (10:00) – 14.09.2021 (10:00) au fost raportate de către INSP 96 de decese (55 bărbaţi şi 41 femei), ale unor pacienţi infectaţi cu noul coronavirus, internaţi în spitalele din Alba, Arad, Argeş, Brăila, Bistriţa-Năsăud, Botoşani, Braşov, Buzău, Caraş-Severin, Călăraşi, Cluj, Constanţa, Dâmboviţa, Dolj, Galaţi, Gorj, Harghita, Hunedoara, Iaşi, Ilfov, Maramureş, Mehedinţi, Mureş, Neamţ, Prahova, Satu Mare, Sălaj,  Sibiu, Suceava, Timiş, Vaslui, Vâlcea, Vrancea şi Municipiul Bucureşti.

Dintre cele 96 de decese, 1 a fost înregistrat la categoria de vârstă 20-29 de ani, 2 la categoria de vârstă 30-39 ani, 6 la categoria de vârstă 40-49 ani, 5 la categoria de vârstă 50-59 ani, 29 la categoria de vârstă 60-69 ani, 29 la categoria de vârstă 70-79 ani şi 24 la categoria de vârstă peste 80 ani.

88 dintre decesele înregistrate sunt ale unor pacienţi care au prezentat comorbidităţi, 6 pacienţi decedaţi nu au prezentat comorbidităţi, iar pentru 2 pacienţi decedaţi nu au fost raportate comorbidităţi până în prezent.

Nu sunt raportate decese anterioare intervalului de referinţă.

Situaţia la ATI

În unităţile sanitare de profil, numărul total de persoane internate cu COVID-19 este de 5.622. Dintre acestea, 675 sunt internate la ATI.

Din totalul pacienţilor internaţi, 155 sunt minori, 145 fiind internaţi în secţii şi 10 la ATI.

Teste efectuate

Până la această dată, la nivel naţional, au fost prelucrate 9.296.903 teste RT-PCR şi 2.740.386 de teste rapide antigenice. În ultimele 24 de ore au fost efectuate 18.645 de teste RT-PCR (8.417 în baza definiţiei de caz şi a protocolului medical şi 10.228 la cerere) şi 28.804 teste rapide antigenice.

Situaţia pe judeţe

Bilanţul COVID-19 publicat ieri

Până luni, 13 septembrie, pe teritoriul României au fost confirmate 1.122.653 de cazuri de persoane infectate cu noul coronavirus (COVID – 19). 

1.065.989 de pacienţi au fost declaraţi vindecaţi. 

Cazuri noi  COVID-19, 13 septembrie 2021

Luni, în urma testelor efectuate la nivel naţional, faţă de ultima raportare, au fost înregistrate 1.849 de cazuri noi de persoane infectate cu SARS – CoV – 2 (COVID – 19), acestea fiind cazuri care nu au mai avut anterior un test pozitiv.  

Bilanţ decese COVID-19, 13 septembrie 2021

Până luni, 35.036 persoane diagnosticate cu infecţie cu SARS – CoV – 2 au decedat.

În intervalul 12.09.2021 (10:00) – 13.09.2021 (10:00) au fost raportate de către INSP 46 de decese (28 bărbaţi şi 18 femei), ale unor pacienţi infectaţi cu noul coronavirus, internaţi în spitalele din Arad, Argeş, Bacău, Bihor, Bistriţa-Năsăud, Botoşani, Caraş-Severin, Constanţa, Dolj, Iaşi, Maramureş, Mehedinţi, Mureş, Olt, Prahova, Satu Mare,  Sibiu, Teleorman, Timiş şi Vaslui.

Dintre cele 46 de decese, 1 a fost înregistrat la categoria de vârstă 30-39 de ani, 3 la categoria de vârstă 40-49 ani, 8 la categoria de vârstă 50-59 ani, 11 la categoria de vârstă 60-69 ani, 17 la categoria de vârstă 70-79 ani şi 6 la categoria de vârstă peste 80 ani.

41 dintre decesele înregistrate sunt ale unor pacienţi care au prezentat comorbidităţi, 4 pacienţi decedaţi nu au prezentat comorbidităţi, iar pentru 1 pacient decedat nu au fost raportate comorbidităţi până în prezent.

Nu sunt raportate decese anterioare intervalului de referinţă.

Situaţia la ATI, 13 septembrie 2021

În unităţile sanitare de profil, numărul total de persoane internate cu COVID-19 este de 5.288. Dintre acestea, 633 sunt internate la ATI.

Din totalul pacienţilor internaţi, 162 sunt minori, 152 fiind internaţi în secţii şi 10 la ATI.

Teste efectuate, 13 septembrie 2021

Până la această dată, la nivel naţional, au fost prelucrate 9.278.258 de teste RT-PCR şi 2.711.582 de teste rapide antigenice. În ultimele 24 de ore au fost efectuate 6.126 de teste RT-PCR (2.701 în baza definiţiei de caz şi a protocolului medical şi 3.425 la cerere) şi 15.906 teste rapide antigenice.