Prima pagină » Coronavirus » CORONAVIRUS. Raportare COVID-19 România 25 mai 2021, pe judeţe. Zonele cu zero cazuri noi de Sars-CoV-2

CORONAVIRUS. Raportare COVID-19 România 25 mai 2021, pe judeţe. Zonele cu zero cazuri noi de Sars-CoV-2

Până pe 25 mai, pe teritoriul României, au fost confirmate 1.076.154 de cazuri de persoane infectate cu noul coronavirus. Bilanţul complet COVID-19 de marţi, 25 mai, poate fi consultat AICI.

1.035.115 de pacienţi au fost declaraţi vindecaţi.

În urma testelor efectuate la nivel naţional, faţă de ultima raportare, au fost înregistrate 381 de cazuri noi de persoane infectate cu SARS-CoV-2.

În ultimele 24 de ore, au fost efectuate 20.519 teste RT-PCR (10.778 în baza definiţiei de caz şi a protocolului medical şi 9.741 la cerere) şi 11.288 de teste rapide antigenice.

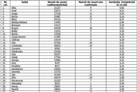
TOP JUDEŢE COVID-19. Cele mai multe cazuri noi au fost raportate în:

  • Municipiul Bucureşti (42 de cazuri COVID-19)
  • Cluj (20 de cazuri COVID-19)
  • Ilfov (20 de cazuri COVID-19)

TOP JUDEŢE COVID-19. Cele mai puţine cazuri noi au fost raportate în:

  • Mehedinţi (1 caz COVID-19)
  • Călăraşi (0 cazuri COVID-19)
  • Harghita (0 cazuri COVID-19)

Cazuri de COVID-19 pe judeţe. Rata de infectare: