Prima pagină » Coronavirus » CORONAVIRUS în România 28 august 2021. Situaţia pe judeţe. Cele mai multe cazuri noi au fost înregistrate în Bucureşti. LISTA completă

CORONAVIRUS în România 28 august 2021. Situaţia pe judeţe. Cele mai multe cazuri noi au fost înregistrate în Bucureşti. LISTA completă

Până astăzi, 28 august, pe teritoriul României au fost confirmate 1.095.885 de cazuri de persoane infectate cu noul coronavirus (COVID – 19).

1.053.974 pacienţi au fost declaraţi vindecaţi.

În urma testelor efectuate la nivel naţional, faţă de ultima raportare, au fost înregistrate 1.015 de cazuri noi de persoane infectate cu SARS – CoV – 2 (COVID – 19), acestea fiind cazuri care nu au mai avut anterior un test pozitiv.

De asemenea, în ultimele 24 de ore, au fost înregistrate 19 decese (11 bărbaţi şi 8 femei), ale unor pacienţi infectaţi cu noul coronavirus, internaţi în spitalele din Bacău, Bihor, Bistriţa Năsăud, Cluj, Constanţa, Dolj, Iaşi , Maramureş, Neamţ, Olt, Suceava, Timiş şi Municipiul Bucureşti.

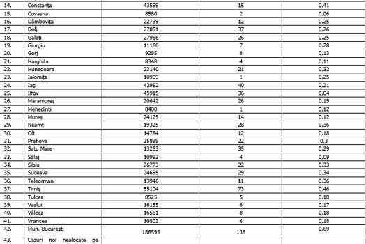
TOP judeţe după numărul de cazuri noi

  • Municipiul Bucureşti: 136 de cazuri noi COVID-19
  • Timiş: 73 de cazuri noi COVID-19
  • Cluj: 52 de cazuri noi COVID-19
  • Iaşi: 40 de cazuri noi COVID-19

Lista completă

Până la această dată, la nivel naţional, au fost prelucrate 9.057.529 de teste RT-PCR şi 2.344.651 de teste rapide antigenice. În ultimele 24 de ore au fost efectuate 16.130 de teste RT-PCR (4.834 în baza definiţiei de caz şi a protocolului medical şi 11.296 la cerere) şi 27.756 de teste rapide antigenice. 

Bilanţul complet poate fi consultat aici

 

Recomandarea video