Prima pagină » Social » EVALUARE NAŢIONALĂ 2015. Subiectele de la matematică, rezolvate pe Mediafax.ro

EVALUARE NAŢIONALĂ 2015. Subiectele de la matematică, rezolvate pe Mediafax.ro

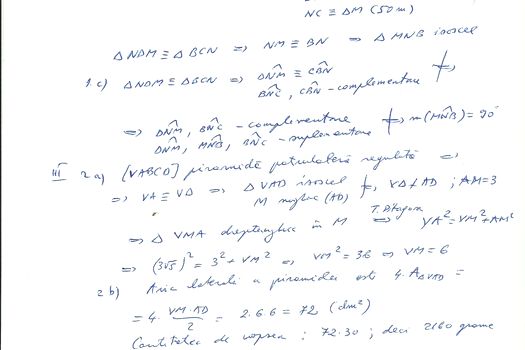
Astăzi a avut loc ultima probă de la Evaluare Naţională 2015, cea de matematică. Subiectele de la matematică le găsiţi mai jos.
Ştefan Horobeţ
24 iun. 2015, 11:08, Social
 
 
Subiectele au fost rezovate pentru Mediafax.ro şi Gandul.info de de profesorul Ovidiu Horobeţ, de la Colegiul Naţional Matei Basarab.
 
 
 
Luni a avut loc proba la limba şi literatura română, iar marţi, cea de limba şi literatura maternă.
 
Aproximativ 180.000 de elevi au susţinut examenul de Evaluare Naţională 2015, al cărui rezultat va avea o pondere de 75% în media de intrare la liceu.
 
Rezultatele la Evaluare Naţională 2015 vor fi afişate în 26 iunie, până la ora 16.00, iar în aceeaşi zi, între orele 16.00 şi 20.00, vor fi depuse contestaţiile. În perioada 27-29 iunie vor fi rezolvate contestaţiile depuse de candidaţi, iar în 30 iunie vor fi afişate rezultatele finale.
 
Reguli privind susţinerea examenului de Evaluare Naţională 2015
 
Elevii nu pot intra în sălile de examen cu cărţi, caiete, dicţionare, ciorne, telefoane mobile, căşti audio, mijloace electronice de calcul sau de comunicare care permite conectarea la internet şi ar putea fi folosite pentru rezolvarea subiectelor, precum şi cu orice alte materiale care ar putea ridica suspiciunea de fraudă.
 
Candidaţii vor lăsa ghiozdane, rucsacuri, sacoşe şi poşete în sala de depozitare a obiectelor personale, stabilită de comisia din unitatea de învăţământ.
 
De asemenea, candidaţilor le este interzis să comunice între ei sau cu exteriorul, să copieze, să transmită materiale care permit copiatul sau să schimbe între ei foi din lucrare, ciorne sau notiţe care ar putea fi folosite pentru rezolvarea subiectelor.
 
Încălcarea acestor reguli va fi considerată fraudă sau tentativă de fraudă, iar candidaţii vor fi eliminaţi de la proba respectivă, indiferent dacă materialele interzise au fost folosite sau nu.
 
Candidaţii eliminaţi de la o probă pentru fraudă sau tentativă de fraudă vor primi nota 1 pe lucrarea scrisă respectivă.
 
Înainte de începerea probelor, asistenţii vor prezenta candidaţilor prevederile metodologice legate de organizarea şi desfăşurarea corectă a Evaluării Naţionale şi le vor solicita să predea toate materialele şi obiectele care, potrivit reglementărilor în vigoare, sunt interzise în sala de examen.
 
Calendar Evaluare Naţională 2015
 
22 iunie 2015 – Limba şi literatura română – probă scrisă
 
23 iunie 2015 – Limba şi literatura maternă – probă scrisă
 
24 iunie 2015 – Matematica – probă scrisă
 
26 iunie 2015 – Afişarea rezultatelor (până la ora 16)
 
26 iunie 2015 – Depunerea contestaţiilor (orele 16 – 20)
 
27 -29 iunie 2015 – Rezolvarea contestaţiilor
 
30 iunie 2015 – Afişarea rezultatelor finale după contestaţii